五五世纪 55sj0

五五世纪 55sj0动态

五五世纪 55sj0愿与业内同行分享 助力各企业在大数据浪潮来临之际一起破浪前行

技术干货 | XGBoost原理解析

技术干货 | XGBoost原理解析

作者简介  

刘英涛:五五世纪 55sj0数据推荐算法工程师,负责五五世纪 55sj0数据个性化推荐系统的研发与优化。

XGBoost的全称是 eXtremeGradient Boosting,2014年2月诞生的专注于梯度提升算法的机器学习函数库,作者为华盛顿大学研究机器学习的大牛——陈天奇。他在研究中深深的体会到现有库的计算速度和精度问题,为此而着手搭建完成 xgboost 项目。xgboost问世后,因其优良的学习效果以及高效的训练速度而取得广泛的关注,并在各种算法大赛上大放光彩。

1.CART

CART(回归树, regressiontree)是xgboost最基本的组成部分。其根据训练特征及训练数据构建分类树,判定每条数据的预测结果。其中构建树使用gini指数计算增益,即进行构建树的特征选取,gini指数公式如式(1), gini指数计算增益公式如式(2):

技术干货 | XGBoost原理解析

技术干货 | XGBoost原理解析表示数据集中类别的概率,表示类别个数。

注:此处图的表示分类类别。

技术干货 | XGBoost原理解析

D表示整个数据集,技术干货 | XGBoost原理解析技术干货 | XGBoost原理解析分别表示数据集中特征为的数据集和特征非的数据集,技术干货 | XGBoost原理解析表示特征为的数据集的gini指数。

以是否打网球为例(只是举个栗子):

技术干货 | XGBoost原理解析技术干货 | XGBoost原理解析

技术干货 | XGBoost原理解析

其中,技术干货 | XGBoost原理解析最小,所以构造树第一时间使用温度适中。然后分别在左右子树中查找构造树的下一个条件。

本例中,使用温度适中拆分后,是子树刚好类别全为是,即温度适中时去打网球的概率为1。      

2.Boostingtree

一个CART往往过于简单,并不能有效地做出预测,为此,采用更进一步的模型boosting tree,利用多棵树来进行组合预测。具体算法如下:

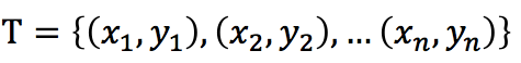
输入:训练集技术干货 | XGBoost原理解析

输出:提升树技术干货 | XGBoost原理解析

步骤:

(1)初始化技术干货 | XGBoost原理解析

(2) 对m=1,2,3……M

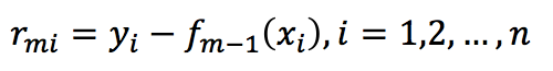
        a)计算残差技术干货 | XGBoost原理解析

        b)拟合残差技术干货 | XGBoost原理解析学习一个回归树,得到技术干货 | XGBoost原理解析

        c)更新 技术干货 | XGBoost原理解析

(3)得到回归提升树:技术干货 | XGBoost原理解析

例子详见后面代码部分。

3.xgboost

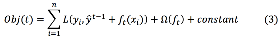
第一时间,定义一个目标函数:

技术干货 | XGBoost原理解析

constant为一个常数,正则项技术干货 | XGBoost原理解析如下,

技术干货 | XGBoost原理解析

其中,T表示叶子节点数,技术干货 | XGBoost原理解析表示第j个叶子节点的权重。

例如下图,叶子节点数为3,每个叶子节点的权重分别为2,0.1,-1,正则项计算见图:

技术干货 | XGBoost原理解析

利用泰勒展开式技术干货 | XGBoost原理解析,对式(3)进行展开:

技术干货 | XGBoost原理解析

其中,技术干货 | XGBoost原理解析表示技术干货 | XGBoost原理解析技术干货 | XGBoost原理解析的一阶导数,技术干货 | XGBoost原理解析表示技术干货 | XGBoost原理解析技术干货 | XGBoost原理解析的二阶导数。

技术干货 | XGBoost原理解析为真实值与前一个函数计算所得残差是已知的(我们都是在已知前一个树的情况下计算下一颗树的),同时,在同一个叶子节点上的数的函数值是相同的,可以做合并,于是:

技术干货 | XGBoost原理解析

顺利获得对求导等于0,可以得到

技术干货 | XGBoost原理解析

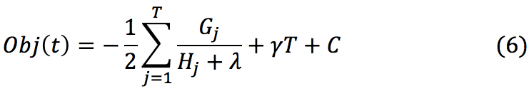
技术干货 | XGBoost原理解析带入得目标函数的简化公式如下:

技术干货 | XGBoost原理解析

目标函数简化后,可以看到xgboost的目标函数是可以自定义的,计算时只是用到了它的一阶导和二阶导。得到简化公式后,下一步针对选择的特征计算其所带来的增益,从而选取合适的分裂特征。

技术干货 | XGBoost原理解析

提升树例子代码:

# !/usr/bin/env python

# -*- coding: utf-8 -*-

 

# 目标函数为真实值与预测值的差的平方和

 

import math

 

# 数据集,只包含两列

test_list = [[1,5.56], [2,5.7], [3,5.81], [4,6.4], [5,6.8],

            [6,7.05], [7,7.9], [8,8.7], [9,9],[10,9.05]]

 

step = 1 #eta

# 起始拆分点

init = 1.5

# 最大拆分次数

max_times = 10

# 允许的最大误差

threshold = 1.0e-3

 

def train_loss(t_list):

    sum = 0

    for fea in t_list:

        sum += fea[1]

    avg = sum * 1.0 /len(t_list)

    sum_pow = 0

    for fea in t_list:

        sum_pow +=math.pow((fea[1]-avg), 2)

    return sum_pow, avg

 

def boosting(data_list):

    ret_dict = {}

    split_num = init

    while split_num <data_list[-1][0]:

        pos = 0

        for idx, data inenumerate(data_list):

            if data[0]> split_num:

                pos = idx

                break

        if pos > 0:

            l_train_loss,l_avg = train_loss(data_list[:pos])

            r_train_loss,r_avg = train_loss(data_list[pos:])

            ret_dict[split_num] = [pos,l_train_loss+r_train_loss, l_avg, r_avg]

        split_num += step

    return ret_dict

 

def main():

    ret_list = []

    data_list =sorted(test_list, key=lambda x:x[0])

 

    time_num = 0

    while True:

        time_num += 1

        print ‘beforesplit:’,data_list

        ret_dict =boosting(data_list)

        t_list =sorted(ret_dict.items(), key=lambda x:x[1][1])

        print ‘splitnode:’,t_list[0]

       ret_list.append([t_list[0][0], t_list[0][1][1]])

        if ret_list[-1][1]< threshold or time_num > max_times:

            break

        for idx, data inenumerate(data_list):

            if idx <t_list[0][1][0]:

                data[1] -=t_list[0][1][2]

            else:

                data[1] -=t_list[0][1][3]

        print ‘after split:’,data_list

    print ‘split node andloss:’

    print’n’.join([“%st%s” %(str(data[0]), str(data[1])) for data inret_list])

 

if __name__ == ‘__main__’:

    main()